CNC water jet cutting machine,China waterjet cutter
|
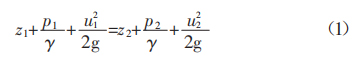
1 Introduction Ultra-high pressure numerical control water jet processing equipment is also called "water jet". The pressurized cylinder of the waterjet can increase the water pressure from 1 atmosphere to over 300MPa. The high-speed water jet sprayed by the gem nozzle can easily cut rubber, leather, plastic, etc. After adding sand to the water jet, it can be Cutting stone, glass, ceramics, steel plates, etc. Driven by the numerical control system, it is possible to cut sheets of any shape, such as parquet patterns, etc. In the ultra-high pressure state, how many meters per second can the high-speed water jet from the waterjet nozzle reach? This article uses Bernoulli's equation to introduce the calculation method of water jet velocity of water jet, in order to understand the relationship between the water jet velocity from the water jet nozzle and the output pressure change of the booster cylinder. 2 Parameters of waterjet equipment The inner diameter of the jewel nozzle: ∅0.3mm. The output water pressure of the booster cylinder: up to 350MPa. Inner diameter of high pressure water pipe: ∅3mm. 3 Establish a data model to simplify the calculation method Refer to the relevant engineering fluid mechanics data, when the temperature of water is constant (0℃), when the pressure is 1MPa, the volume change of water is only 5.27×10-5 when the pressure is 1MPa; when the pressure is 8MPa, the volume change is only 5.27×10-5; At 0.1MPa, the volume change of water is only 5.05×10-5; as the pressure increases, the volumetric compressibility of water is still decreasing. When the water pressure increases from 1 MPa to 200 MPa, the volume change of water decreases by about 0.1%. It can be seen that the compression rate of water is very small, so in the process of calculating the water jet cutting velocity in this article, the compression change of water is not considered, and water is considered to be an incompressible ideal fluid. When the waterjet cutting machine is working, the tap water is pressurized by the pressurizing cylinder, and then transported from the high-pressure pipe to the jewel nozzle, and sprayed through the jewel nozzle to form a water jet. The schematic diagram of the high-pressure water flow path is shown in Figure 1. The high-pressure water flows through the high-pressure water pipe from section 1-1 to the exit section 2-2 of the gem nozzle. The section of the high-pressure water pipe 1 -1 is equipped with a water pressure gauge to monitor the working water pressure. In normal operation, the high-pressure water pipe has good sealing performance, and it can be determined that the ideal fluid flow condition in the pipe is relatively stable. According to the Bernoulli equation of an incompressible ideal fluid per unit weight along the streamline under steady flow conditions, the energy equations (calculated in absolute pressure) for the two effective sections 1-1 and 2-2 in the streamline of the high-pressure water pipe can be written as: Among them, z1 and z2 represent the potential energy at the location of the water fluid per unit weight. The center points of the two effective sections 1-1 and 2-2 set in the waterjet equipment are similar in height, so z1=z2 can be considered. |

| p1/γ represents the pressure energy of the unit weight of the water fluid at the center point of the effective section of 1-1 (ie at the pressure gauge), and the value of p1 is the pressure gauge reading. p2/γ represents the pressure energy of the water fluid per unit weight at the center point of the effective section of 2-2 (ie the exit of the jewel nozzle). At the exit of the jewel nozzle, the pressure of the water jet is close to atmospheric pressure, and p2 is about 0.1MPa. In the ultra-high pressure waterjet, since the working pressure can reach 300MPa or more, p1 is much larger than p2, so p2/γ can be ignored, and γ is the weight of water. |
Why choose to use a five-axis waterjet cutting machine?...
slate water jet cutting machine is very popular in marble granite slate producing industry,the high cutting accuracy and ...
If you want to use a waterjet cutting machine for cutting, there are a few points to remind you. One is about the fixing ...
Pre-mixed abrasive portable water jet cutting machine is to pre-mix abrasive and water, pressurize and deliver it to the ...
What are the characteristics of the cutting seam and cutting section of the water jet? ...